印刷与出版
随着移动互联网的迅速发展,微信公众平台(简称“微信平台”)以其传播速度快、受众范围广的优势,成为学术期刊寻求出版融合、拓展传播渠道、提升知名度的重要媒体工具。各学术期刊竞相开通微信公众号,但粉丝数和阅读量不尽如人意,传播效果不理想。如何突破传统出版模式的局限,真正发挥微信平台的传播效能,实现学术期刊在内容传播和信息发布方面的主动权,需要结合当前的研究成果,进行微信平台用户行为的研究,从而为微信平台建设提供理论指导,以提高微信平台的关注度,增强用户黏性,提升学术期刊知名度。
一、相关研究
1. 学术期刊微信平台方面的相关研究
随着学术期刊微信平台的日益增多,对其运营模式、存在问题、改进措施等方面的研究不断涌现。程琴娟等[1]通过调查90家学术期刊微信平台,从微信公众号命名、学科属性、功能、信息服务、推送内容等方面分析存在的问题,并提出对策。周华清[2]探讨了学术期刊微信平台的盈利模式,创新性地提出了政府和社会资本合作的运营模式。王磊等[3]以《中国公路学报》微信平台为例,分析决定学术期刊微信平台影响力的主要因素。徐小明等[4]调查分析中华医学会174种期刊微信平台的运营状况,总结问题,提出改进策略。钱筠等[5]对147种中国科技核心期刊的微信平台进行调研,分析现状,提出对策。这些研究为学术期刊利用微信平台更好地传播学术信息、扩大期刊影响力提供了有益的建议,但都是从期刊微信平台自身角度出发,没有深入分析平台用户的心理需求和行为特点,不能确切地根据用户需求提出学术期刊发展微信平台的有效措施。
2. 新媒体用户行为相关研究
当前对新媒体用户行为研究的方法主要有两类。一类是“理论模型+问卷调查”的定量研究方法,理论模型主要有技术接受模型、期望确认模型、使用与满足理论、PPM(Push-Pull-Mooring)理论、S-O-R(刺激—有机体—反应)理论等。如宋明珍等[6]70运用技术接受模型研究知识付费用户消费行为,得出主观规范、感知价值、低感知成本正向影响用户的消费意愿;常桂林等[7]85运用期望确认模型对图书馆微信公众号用户持续使用意愿的影响因素进行了较深入系统的研究;臧国全等[8]110基于使用与满足理论,研究使用动机、隐私关注和隐私行为三者的关系,构建用户使用微信的APCO模型;陈渝等[9]依托PPM理论探究用户阅读转移行为的影响因素;黄思皓等[10]基于S-O-R理论,探究了社交电商平台氛围特征对消费者持续购买意愿的影响机制。另一类是以扎根理论为代表的定性分析方法。该方法通过访谈方式收集资料,对资料以编码方式进行归纳,提取概念和范畴,形成理论,从而获得对用户行为的解释性理解。如贾若男等[11]运用扎根理论归纳出了社交媒体用户转移、行为路径及其对应的不同行为特征,探讨了用户转移的原因。
从研究对象来看,对用户行为的研究多集中于微信平台,但针对特定类型微信平台的研究并不多。常桂林等[7]85、郭顺利等[12]和曹鹏[13]研究了高校图书馆微信平台用户行为。岳淼等[14]研究了《人民日报》微信平台用户行为。金晓玲等[15]研究了医疗健康类企业微信平台在线用户点赞与评论行为,然而,针对学术期刊微信平台用户行为的研究却鲜有报道。
随着期刊竞争的加剧,学术期刊也急需通过新媒体平台树立品牌形象,扩大知名度,提升传播力。作为受众范围最广、影响最深的微信平台无疑成为学术期刊发展的助推器。学术期刊只有通过研究关注人群的行为特征,向用户提供感兴趣的内容和增值服务,才能充分发挥微信平台的传播赋能作用,有效推动学术期刊的高质量发展。
二、理论基础与研究假设
用户的持续关注行为是提高微信平台的知名度、美誉度和用户黏性的基础,只有保持一定的用户关注量,微信平台才能有效地实现其作为新媒体传播平台的目标。不同于大众类微信公众平台,学术期刊微信平台娱乐和消遣功能较弱,知识服务功能突出,受众范围小,大多是具有学术研究需求或对学术研究感兴趣的人群。因此,对学术期刊微信平台的研究,不仅要考虑平台的特性,还要从用户的需求角度出发,设计恰当的考察变量。本研究结合技术接受模型和使用与满足理论选择研究变量,构建概念模型,探究影响学术期刊微信平台的关键因素。
技术接受模型通过用户对外部变量的感知来解释用户对信息系统的接受行为,用户的接受行为由其行为意向决定,行为意向取决于感知有用性和使用态度,主要考虑感知有用性和感知易用性[6]70。由于微信平台的使用已经非常便捷,感知易用性不在本研究的考虑之列,仅对感知有用性进行研究。影响感知有用性的外部变量主要包括系统质量、信息质量和服务质量。由于微信平台的系统质量相差不大,信息质量普遍较高,本研究选择服务质量和信息质量中的内容差异作为考察感知有用性的外部变量,并加入信息过载这一负向影响因素,提出以下4个假设。(见图1)

图 1 用户持续关注行为的概念模型
H1:服务质量正向影响学术期刊微信平台用户的感知有用性。
H2:内容差异正向影响学术期刊微信平台用户的感知有用性。
H3:信息过载负向影响学术期刊微信平台用户的感知有用性。
H4:感知有用性正向影响用户持续关注行为。
使用与满足理论认为受众具有能动性与自主性,会根据自己的需求来选择如何使用媒介以及怎样消费媒介内容。在对微信平台用户使用行为的研究中,郭羽等[16]55认为基于信息与社交需求的使用模式和微信使用行为正相关,郑君君等[17]123基于微信用户的问卷调查,研究得出需求动机正向影响用户的参与行为。使用与满足理论强调用户在使用社交媒介时的主动性,认为正是对社交媒介的特殊需求才有效激发了用户的使用行为。因此,学术期刊微信平台用户增长学术知识及提升科研能力的特殊需求,决定了在对该类用户进行研究时,需求动机是需要考虑的重要因素。为此,提出以下2个假设。(见图1)
H5:需求动机正向影响学术期刊微信平台用户的感知有用性。
H6:需求动机正向影响用户持续关注行为。
上述研究变量的名称及含义见表1。
表 1 研究变量的名称及含义

三、实证研究
1. 问卷设计和发放
本研究通过问卷调查的方式收集数据,问卷分为两个部分:第一部分为被调查者基本情况;第二部分为6个研究变量的测量题项,根据这些变量,结合学术期刊微信平台的情境特点分别设计3~4个测量题项,共计20个测量题项,变量符号、测量题项及其来源如表2所示。所有题项都采用李克特5级量表:1表示非常不同意,5表示非常同意。
表 2 研究变量及测量题项

问卷设计之后,请3位专业教师进行了评价和修改,并在小范围进行了测试,对问卷中存在的问题进行了修正。2021年12月1—7日,通过问卷网发放问卷,主要发放对象为高校、科研院所的学生、教师及科研人员,共回收问卷391份。对问卷进行有效性甄别,删除关注学术期刊微信平台数量为0、问题漏答、选项一致或有规律答题的问卷,最终有效问卷为321份。
2. 问卷基本信息
问卷基本信息的调查主要是为了解样本对象的基本情况,从而判断样本选择的合理性。如表3所示,从性别构成来看,男性占54.52%,女性占45.48%,性别比例较为接近。年龄处于21~29岁的被调查者占70.09%,说明以年轻人居多,其中硕士比例最大,接近68.22%,博士28.66%。从每天阅读学术资讯的时间来看,73.52%的被调查者阅读时间在30分钟以上,阅读60分钟以上的占37.07%,说明调查对象对学术资讯有一定需求,调查样本符合实证研究的要求。96.88%的被调查者通过中国知网、万方等文献数据库获取学术信息,这是当前最主要的学术信息获取渠道。调查对象对百度类搜索引擎、学术期刊微信平台的使用超过半数,说明虽然获取途径较为集中,但学术期刊微信平台在用户心目中也占有一席之地。
表 3 问卷基本信息统计表

3. 模型检验
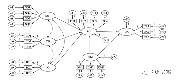
结构方程模型是利用多指标测量的方法分析研究假设的成立与否,模型中既包含了定义变量的测量模型,又包含了表示各变量之间关系的结构模型。本研究运用Amos 24.0软件,绘制结构方程模型图(见图2),以最大似然法为估计方法,对模型进行分析,并得出各项评估指标。最大似然法是目前应用最广的结构方程模型适配函数估计法,也是Amos内定的模型估计法,其目的是替总体参数寻求“最可能”解释观察数据的值[24]。图2中,e1—e23为各变量残差项,残差项上的路径系数均规定为1,每个变量中有一条路径系数确定为1。

图 2 结构方程模型
(1)模型拟合度评价
拟合度指标用于评价假设模型与样本数据是否相互适配,但并不能说明模型本身的好坏,一个拟合度优良的模型只能说是理论模型比较符合样本数据的实际情况。本研究模型的卡方自由度比CMIN/DF为2.087(理想标准为1~3);拟合优度GFI为0.907(>0.9为拟合良好),调整后拟合优度AGFI为0.878(>0.8为可接受),近似误差均方根RMSEA为0.058(<0.08为理想标准);非规范适配指标TLI为0.921,比较增值拟合指标IFI为0.934,比较拟合指标CFI为0.933,都达到了大于0.9的理想标准。因此,模型的整体拟合度达到了要求。
(2)信度和效度检验
信度是指测量结果的一致性、稳定性及可靠性,信度系数越高表明该测量结果越可靠[21]75。对量表信度的检验一般用Cronbach’α和组成信度CR来判断,Amos分析中,用CR值代替Cronbach’α进行验证。组成信度指所有变量信度的组合,表示指标间内在一致性,大于0.7表示一致性良好。表4中,CR值均大于0.7,说明量表具有可靠性。进一步由表4可知,在95%的置信水平下所有估计参数皆为显著(P<0.05),因素负荷量都大于0.6,题项信度SMC均大于0.36,说明模型内部质量较好。
表 4 信度检验结果

效度即有效性,是指测量结果能够反映考察内容的程度,测量结果与考察内容越吻合,则效度越高[21]75,通常用收敛效度(AVE)和区别效度来进行检验。由表5可知,3个变量的AVE值大于0.5,另外3个接近0.5,收敛效度较好。表5中对角线为AVE的平方根,除服务质量的AVE平方根(0.735)略小于其与内容差异的相关系数(0.737),以及内容差异的AVE平方根(0.704)略小于其与感知有用性的相关系数(0.761)以外,其余各个变量的AVE平方根均大于其与其他变量的相关系数,说明变量之间的区分效度较好。
表 5 收敛效度和区别效度

(3)假设性检验
运用结构方程模型,以最大似然法对各测量变量间的因果关系进行验证,多数变量之间的因果关系具有显著的统计学意义,结果见表6。可见,假设H1、H2、H3、H4、H6均成立,假设H5不成立,绝大多数假设得到了验证,说明本研究构建的模型能够解释学术期刊微信平台用户的持续关注行为。
表 6 假设检验结果

四、研究结论
1. 服务质量和内容差异正向影响感知有用性
模型验证结果表明,服务质量和内容差异正向影响感知有用性,说明这两个因素是用户关注微信平台的重要因素。实际上,服务涵盖的内容非常广泛,不一定是提供了某项功能,平台在运营过程中有很多细节可以提升服务的质量,为用户带来愉快的体验,从而增强平台的感知价值。特别是在当前微信平台层出不穷,服务同质化现象更为严重的情况下,学术期刊微信平台通过提高服务质量、增强互动性和进行个性化服务和推送,将能更有效地吸引用户关注。
另外,信息内容是否体现出与其他平台的差异,也被证实是维系用户关注行为、增强用户黏性的关键因素。当前,各大学术平台已经在学术搜索领域占据了牢不可破的地位,学术期刊微信平台的生存空间相当有限。为了攫取用户注意力,产生持续的影响力,在用户心目中建立良好的品牌形象,微信平台不仅要在发布内容上与其他平台形成区别,而且要具备很强的互补性,满足用户的不同需求。一方面,要结合学科特色和当前热点,创新内容,增强发布内容的趣味性;另一方面,深入分析哪些类型的信息内容更能吸引用户关注,增加发布关注度高的内容。
2. 信息过载负向影响感知有用性
信息过载一方面是信息大量增加,充斥各类媒体,用户非主动地被大量信息包围,甚至产生干扰,由此产生焦虑或排斥情绪。另一方面,学术研究人员由于科研工作的需要,主动搜索、阅读大量学术信息,从而产生疲惫感,忽略了学术期刊微信平台的信息,即使没有取消关注,但对其推送的内容也不会产生浏览的兴趣,导致平台内容的阅读量很低。因此,信息过载既有信息技术迅速发展带来的信息资源过度丰富对用户造成的客观影响,又有用户自身因学习和科研需要主动接受信息资源而带来的主观影响。为了减少该因素的负面影响,作为平台方,需要结合用户的阅读习惯,在推送时间、推送频率、推送内容上作深入研究,合理制订推送计划,使信息的发送有的放矢、内容深入人心。
3. 需求动机对感知有用性没有显著影响
本研究加入了以往研究较少使用的需求动机这一因素,这是因为对学术期刊微信平台的关注必须具有相应的动机才会进行。学术期刊微信平台的用户是具有学习和科研需求,并从事相关领域研究的特定人群,这一特殊性也使得学术期刊微信平台的研究不同于一般的微信平台。本研究结果表明,需求动机对感知有用性没有显著影响,这说明用户是否具有需求动机与其感受并不相关。从现实情况来看,用户只有在使用之后才会感受到是否有用,动机并不能改变其感受的结果,所以通过刺激用户需求来提高用户的价值感和体验感是没有必要的。
4. 感知有用性和需求动机直接影响持续关注,服务质量和内容差异通过感知有用性间接影响持续关注
本研究结果表明,感知有用性和需求动机对持续关注产生直接影响,服务质量和内容差异通过感知有用性间接影响持续关注。为此,可以从以下两方面提高用户的持续关注行为。一是要提升平台的服务和内容质量,深入挖掘用户的兴趣点,创新平台知识服务的新功能。只有让用户真正感受到微信平台丰富了自己在专业领域的资讯,提高了自身学术素养,辅助了日常的学术活动,才能有效建立起平台的品牌价值,提高平台的传播力和知名度,更好地辅助期刊的发展。二是要从需求动机入手,分析哪些人群具有关注动机,通过有针对性地推广和宣传,吸引用户关注。只有扩大粉丝基数,才能产生更多的关注度,实现更广泛的传播。
五、结语
本研究基于用户行为研究的方法,建立行为分析模型,通过问卷调查及模型分析,探讨影响学术期刊微信平台用户关注行为的关键因素,为学术期刊运营微信平台提供参考和借鉴。虽然总体模型的信度和效度达到了基本要求,但收敛效度的3个指标没有大于0.5,区别效度也出现个别数据没有超过变量间相关系数的情况。另外,影响学术期刊微信平台用户关注行为的因素很多,本研究提出的考察变量相对来说数量较少,对用户行为影响因素的分析存在一定的局限。在未来的研究中,将更多关注于用户的感受价值,从更加细致的角度对用户的行为进行深入分析,以探究学术期刊微信平台用户的行为特征,为微信平台的良好运营提供更多可资借鉴的方案。
